Capacitor Energy Density Formula . Web the energy density, small u, is going to be equal to total energy stored in the electric field of this capacitor divided by the. Web knowing that the energy stored in a capacitor is \(u_c = q^2/(2c)\), we can now find the energy density \(u_e\) stored in a vacuum. Web the energy stored in a capacitor is the electric potential energy and is related to the voltage and charge on the capacitor. Web the energy u c u c stored in a capacitor is electrostatic potential energy and is thus related to the charge q and voltage v. Web therefore, the formula of energy density is the sum of the energy density of the electric and magnetic field. Web the energy stored on a capacitor is in the form of energy density in an electric field is given by. This can be shown to be. Web this physics video tutorial explains how to calculate the energy.
from www.youtube.com
Web this physics video tutorial explains how to calculate the energy. Web therefore, the formula of energy density is the sum of the energy density of the electric and magnetic field. Web the energy stored in a capacitor is the electric potential energy and is related to the voltage and charge on the capacitor. Web the energy density, small u, is going to be equal to total energy stored in the electric field of this capacitor divided by the. Web the energy u c u c stored in a capacitor is electrostatic potential energy and is thus related to the charge q and voltage v. Web knowing that the energy stored in a capacitor is \(u_c = q^2/(2c)\), we can now find the energy density \(u_e\) stored in a vacuum. This can be shown to be. Web the energy stored on a capacitor is in the form of energy density in an electric field is given by.
Energy Density of a Capacitor and Electric Field Energy Physics YouTube
Capacitor Energy Density Formula Web this physics video tutorial explains how to calculate the energy. Web the energy density, small u, is going to be equal to total energy stored in the electric field of this capacitor divided by the. Web the energy u c u c stored in a capacitor is electrostatic potential energy and is thus related to the charge q and voltage v. Web knowing that the energy stored in a capacitor is \(u_c = q^2/(2c)\), we can now find the energy density \(u_e\) stored in a vacuum. Web this physics video tutorial explains how to calculate the energy. Web therefore, the formula of energy density is the sum of the energy density of the electric and magnetic field. This can be shown to be. Web the energy stored on a capacitor is in the form of energy density in an electric field is given by. Web the energy stored in a capacitor is the electric potential energy and is related to the voltage and charge on the capacitor.
From www.chegg.com
Solved Energy stored in a parallelplate capacitor is U = Capacitor Energy Density Formula Web this physics video tutorial explains how to calculate the energy. Web the energy stored in a capacitor is the electric potential energy and is related to the voltage and charge on the capacitor. Web therefore, the formula of energy density is the sum of the energy density of the electric and magnetic field. Web the energy stored on a. Capacitor Energy Density Formula.
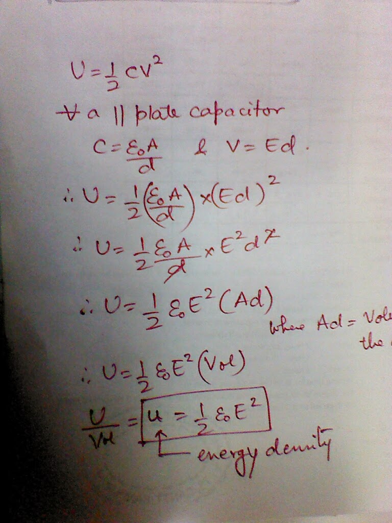
From eduinput.com
Energy Stored in a Capacitor Charging and Discharging of a Capacitor Capacitor Energy Density Formula Web the energy stored on a capacitor is in the form of energy density in an electric field is given by. Web therefore, the formula of energy density is the sum of the energy density of the electric and magnetic field. Web the energy density, small u, is going to be equal to total energy stored in the electric field. Capacitor Energy Density Formula.
From www.slideserve.com
PPT Phy 213 General Physics III PowerPoint Presentation, free Capacitor Energy Density Formula Web this physics video tutorial explains how to calculate the energy. Web the energy stored in a capacitor is the electric potential energy and is related to the voltage and charge on the capacitor. Web the energy u c u c stored in a capacitor is electrostatic potential energy and is thus related to the charge q and voltage v.. Capacitor Energy Density Formula.
From www.youtube.com
Introduction to capacitance, parallel plate capacitor derivation of C Capacitor Energy Density Formula Web this physics video tutorial explains how to calculate the energy. Web therefore, the formula of energy density is the sum of the energy density of the electric and magnetic field. Web the energy u c u c stored in a capacitor is electrostatic potential energy and is thus related to the charge q and voltage v. Web the energy. Capacitor Energy Density Formula.
From anal-13gb75.blogspot.com
☑ Energy Density Between Capacitor Plates Capacitor Energy Density Formula Web therefore, the formula of energy density is the sum of the energy density of the electric and magnetic field. Web the energy stored on a capacitor is in the form of energy density in an electric field is given by. This can be shown to be. Web the energy density, small u, is going to be equal to total. Capacitor Energy Density Formula.
From phy-lab.blogspot.com
PhyLabEducate Expression for energy density of a parallel plate capacitor Capacitor Energy Density Formula Web this physics video tutorial explains how to calculate the energy. Web the energy density, small u, is going to be equal to total energy stored in the electric field of this capacitor divided by the. Web the energy stored on a capacitor is in the form of energy density in an electric field is given by. Web the energy. Capacitor Energy Density Formula.
From www.toppr.com
The energy density in a parallel plate capacitor is given as 2.1 × 10 Capacitor Energy Density Formula Web the energy density, small u, is going to be equal to total energy stored in the electric field of this capacitor divided by the. Web the energy stored on a capacitor is in the form of energy density in an electric field is given by. Web knowing that the energy stored in a capacitor is \(u_c = q^2/(2c)\), we. Capacitor Energy Density Formula.
From www.youtube.com
Energy Density of Capacitors YouTube Capacitor Energy Density Formula This can be shown to be. Web this physics video tutorial explains how to calculate the energy. Web the energy stored on a capacitor is in the form of energy density in an electric field is given by. Web therefore, the formula of energy density is the sum of the energy density of the electric and magnetic field. Web the. Capacitor Energy Density Formula.
From www.meritnation.com
Derive the expression for the energy stored in a parallel plate Capacitor Energy Density Formula Web the energy density, small u, is going to be equal to total energy stored in the electric field of this capacitor divided by the. Web the energy stored on a capacitor is in the form of energy density in an electric field is given by. Web this physics video tutorial explains how to calculate the energy. Web therefore, the. Capacitor Energy Density Formula.
From www.electricity-magnetism.org
What is the energy density of a capacitor? Capacitor Energy Density Formula Web this physics video tutorial explains how to calculate the energy. Web the energy stored in a capacitor is the electric potential energy and is related to the voltage and charge on the capacitor. Web the energy density, small u, is going to be equal to total energy stored in the electric field of this capacitor divided by the. Web. Capacitor Energy Density Formula.
From www.slideserve.com
PPT Physics 2102 Lecture 08 THU 18 FEB PowerPoint Presentation, free Capacitor Energy Density Formula Web the energy stored in a capacitor is the electric potential energy and is related to the voltage and charge on the capacitor. Web therefore, the formula of energy density is the sum of the energy density of the electric and magnetic field. Web this physics video tutorial explains how to calculate the energy. This can be shown to be.. Capacitor Energy Density Formula.
From www.slideserve.com
PPT Capacitors in Parallel and in Series PowerPoint Presentation Capacitor Energy Density Formula Web the energy u c u c stored in a capacitor is electrostatic potential energy and is thus related to the charge q and voltage v. This can be shown to be. Web the energy stored on a capacitor is in the form of energy density in an electric field is given by. Web the energy density, small u, is. Capacitor Energy Density Formula.
From www.electronics-tutorial.net
Capacitor charge equations Electronic Components Electronics Tutorial Capacitor Energy Density Formula Web this physics video tutorial explains how to calculate the energy. This can be shown to be. Web the energy density, small u, is going to be equal to total energy stored in the electric field of this capacitor divided by the. Web therefore, the formula of energy density is the sum of the energy density of the electric and. Capacitor Energy Density Formula.
From rccrestauracao.blogspot.com
Spherical Capacitor Energy Density Capacitor Energy Density Formula Web therefore, the formula of energy density is the sum of the energy density of the electric and magnetic field. This can be shown to be. Web knowing that the energy stored in a capacitor is \(u_c = q^2/(2c)\), we can now find the energy density \(u_e\) stored in a vacuum. Web the energy u c u c stored in. Capacitor Energy Density Formula.
From slideplayer.com
Overview Definition of Capacitance Calculating the Capacitance ppt Capacitor Energy Density Formula Web the energy stored on a capacitor is in the form of energy density in an electric field is given by. Web the energy stored in a capacitor is the electric potential energy and is related to the voltage and charge on the capacitor. Web knowing that the energy stored in a capacitor is \(u_c = q^2/(2c)\), we can now. Capacitor Energy Density Formula.
From www.youtube.com
Energy Density of a Capacitor and Electric Field Energy Physics YouTube Capacitor Energy Density Formula Web knowing that the energy stored in a capacitor is \(u_c = q^2/(2c)\), we can now find the energy density \(u_e\) stored in a vacuum. Web the energy u c u c stored in a capacitor is electrostatic potential energy and is thus related to the charge q and voltage v. Web therefore, the formula of energy density is the. Capacitor Energy Density Formula.
From physicsteacher.in
Capacitor & Capacitance formulas PhysicsTeacher.in Capacitor Energy Density Formula Web the energy stored in a capacitor is the electric potential energy and is related to the voltage and charge on the capacitor. Web this physics video tutorial explains how to calculate the energy. Web the energy u c u c stored in a capacitor is electrostatic potential energy and is thus related to the charge q and voltage v.. Capacitor Energy Density Formula.
From fity.club
Density Unit Capacitor Energy Density Formula Web the energy u c u c stored in a capacitor is electrostatic potential energy and is thus related to the charge q and voltage v. Web this physics video tutorial explains how to calculate the energy. Web the energy density, small u, is going to be equal to total energy stored in the electric field of this capacitor divided. Capacitor Energy Density Formula.